行业新闻

电源效率大化

在本篇电源设计技巧中,我们将讨论如何使用相同的级数大化特定负载电流的电源效率。上节中,我们建议使用如下输出电流函数来计算电源损耗:

 

1.jpg 

 

下一步是利用上述简单表达式,并将其放入效率方程式中:

 

2.jpg 

 

这样,输出电流的效率就得到了优化(具体论证工作留给学生去完成)。这种优化可产生一个有趣的结果。

 

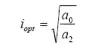
当输出电流等于如下表达式时,效率将会大化。

 

3.jpg 

 

需要注意的件事是,a1项对效率达到大时的电流不产生影响。这是由于它与损耗相关,而上述损耗又与诸如二极管结点的输出电流成比例关系。因此,当输出 电流增加时,上述损耗和输出功率也会随之增加,并且对效率没有影响。需要注意的第二件事是,佳效率出现在固定损耗和传导损耗相等的某个点上。这就是说, 只要控制设置a0和a2值的组件,便能够获得佳效率。还是要努力减小a1的值,并提高效率。控制该项所得结果对所有负载电流而言均相同,因此如其他项一 样没有出现佳效率。a1项的目标是在控制成本的同时达到小化。

 

表1概括总结了各种电源损耗项及其相关损耗系数,该表提供了一些佳化 电源效率方面的折中方法。例如,功率MOSFET导通电阻的选择会影响其栅极驱动要求及Coss损耗和潜在的缓冲器损耗。低导通电阻意味着,栅极驱动、 Coss和缓冲器损耗逆向增加。因此,您可通过选择 MOSFET 来控制a0和a2。

 

表1 损耗系数及相应的电源损耗

4.jpg 

 

 

代数式下一位将佳电流代回到效率方程式中,解得大效率为:

 

需要小化该表达式中的后两项,以佳化效率。a1 项很简单,只需对其小化即可。末尾项能够实现部分优化。如果假设 MOSFET 的 Coss 和栅极驱动功率与其面积相关,同时其导通电阻与面积成反比,则可以为它选择佳面积(和电阻)。图1显示了裸片面积的优化结果。裸片面积较小 时,MOSFET的导通电阻变为效率限制器。随着裸片面积增加,驱动和Coss损耗也随之增加,

 

 

5.jpg 

图1 调节 MOSFET 裸片面积来小化满负载功率损耗

 

图 2是围绕图1佳点的三种可能设计效率图。图中分别显示了三种设计的正常裸片面积。轻负载情况下,较大面积裸片的效率会受不断增加的驱动损耗影响,而在重负载条件下小尺寸器件因高传导损耗而变得不堪重负。这些曲线代表裸片面积和成本的三比一变化,注意这一点非常重要。正常芯片面积设计的效率只 比满功率大面积设计的效率稍低一点,而在轻载条件下(设计常常运行在这种负载条件下)则更高。

 

 

6.jpg 

图2 效率峰值出现在满额定电流之前

 

 

上海耐源电子科技有限公司是一家专业从事AC-DC系列开关电源设计,开发和生产的高新技术企业。是一家专业的LED驱动电源生产厂家。

 

耐源电子.jpg 

 

公司专业生产LED电源,Led驱动电源,开关电源,LED变压器,Led驱动,Led开关电源,产品主要应用于:广告灯箱,亮化工程,室内照明,显示屏,景观亮化,监控设备,雕刻机,打印机等工控电源,广泛应用于LED照明,监控,通讯等领域。本公司承接OEM加工,可根据客户要求打样定制。

公司坚持“以质量求生存,以信誉求发展”。所有产品100%高温满载老化,合格率大于99%.一年内返修率低于2%。

 

微信图片_20210519092822.jpg 

 

公司在西安,郑州,上海设立了3个直销点,成立了完善的售后服务体系,总部以及各销售网点保持一定量的标准库成,能及时满足你的需求。若你找不到合适的型号我们工程师在了解你的需求后,能够迅速提出相应的电源解决方案,为你制定特殊规格电源!

 


版权声明:

本站发布的有些文章部分内容来源于互联网。如有侵权,请联系我们,我们会尽快删除。

导航栏目

联系我们

联系人:张总

手机:18016426289

电话:18016426289

邮箱:26586601@qq.com

地址: 上海市青浦区北青公路6588号