01
磁芯在开关电源里面应用非常的多,但是我们对磁芯里面的一些参数了解的非常的少。
很多的初学者在应用磁芯的时候,都是去套公式,但对于一些公式里面的参数代表什么意思根本不知道,甚至有工作几年的工程师可能都不知道其中的意思,比如下面的公式,里面的Ae与△B有很多同学都不知道什么意思,可能记住了△B一般取值是在0.2T-0.3T,知道这样选取就不会饱和了。
02
为了解决大家的困惑,下面我们来给大家介绍下磁芯里面的一些基本参数。
首先Ae是指磁芯有效截面积,单位一般是(MM^2),对磁芯不了解的同学可能看到这样句话,根本不知道是指哪里,经常有人会问我有实际的磁芯怎么去查Ae值。
下面告诉大家拿到一个实际的磁芯后可以通过测量得到Ae值这一个数据。
看下面实际的磁芯的图,下面图一环形磁芯里面的棕色的面积就是指的AE值,可能有的工程师认为用的是变压器,不是这样的形状的,可能是铁氧体磁芯的形状的,比如是EE形与PQ等,如图二EE磁芯里面的棕色就是指的AE值,也就是所谓的通过磁通的有效横截面积,那我们通过下面的两个图,可以看出来Ae值是不是可以通过我们实际的磁芯是能测量出来的,EE磁芯只要实际测量中柱的面积可以了,中柱是一个长方体是不是很好测量,只有知道长与宽就可以计算出来了。
可能有人就会问了两边黑色的部分能不能测试出来,两边的横截面积相加是等于中柱面积。


我们下面来讲解下为什么会是这样的,其实我们这种EE形的磁芯是两个闭合的方形磁芯结合成而成的一个特殊磁芯,这样做的好处是有利于我们的磁芯散热,同时可以减少更多的漏磁。
我们看下图三EE行的磁芯的平面图,中柱部分的面积要比两边的大,其实我们要是吧中柱部分切开来的话,就会变成了图四一个样的磁芯,从图四可以看出EE形磁芯,其实就是两个闭合长方形的磁芯结合在一起。

我们通过上面的图形的分解就可以看得出来,两边的面积之和是等于中柱的,那么我们看下面中柱与两边形状不一样的PQ型的,看下面的图五:
两边的阴影部分与中柱的形状完全不一样,但是他们的面积也是想等的。只有这样磁芯的磁材在做到大的利用,如果不想等,那么Ae值就只能取小的。但实际的厂商在制作的过程中一般都会去到尽量一样。
03
下面我们来讲Aw,磁芯的窗口面积,一般单位(mm^2),Aw其实就是指可绕线的空间。
看下面图六,棕色的就是我们绕线的横截面积,其中红色线包围的面积就是磁芯的窗口面积。
我在绕线的时候是需要考虑可利用的空间是多少,因为我们的线是圆形的,线与线之间就会有空隙,同时我们有可能会在每一层之间加胶带,如果是隔离的变压器,我们可能还会打挡墙等,如果不打挡墙用三层绝缘线,铜线的直径外面是有一层绝缘层,这是实际的三层绝缘线的外径。
这就是我们的实际磁芯窗口面积不能利用到1的原因,我们实际计算电流密度的时候是计算了铜线的面积,那么我们的铜线的总面积与Aw的关系式有一个系数Sw,也就是我们大部分的时候磁芯的窗口面积就只能用到Sw×Aw,这个Sw是小于1的。
讲了Ae与Aw,那Ap就能求出来了。Ap=Ae×Aw
我的磁芯里面还有一个MPL,有效磁路长度,有些书上面是le,
实际是指我们的磁力线在磁芯里面绕一圈的有效长度,如果是我们的EE形的磁芯,那么见图六黄颜色线的长方体的周长就是MPL,
如果是环形的磁芯,如图七MPL是等于环的周长的2πr。
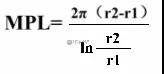
如内外半径相差不大的情况就可以用中间的半径来计算,r=r1+(r2-r1)/2,MPL=2πr
如果r1与r2的半径相差很远,有效磁路长度就需要通过下面的公式来计算了。
我们后要讲一个Ve值,就是磁芯的有效体积,这一个Ve=Ae×MPL,这个经常在规格书里面看看,有很多人误认为是磁芯的器体积,其实不是的,不同的磁芯外体积不等于磁芯的有效体积。
联系人:张总
手机:18016426289
电话:18016426289
邮箱:26586601@qq.com
地址: 上海市青浦区北青公路6588号