行业新闻

电源开发的23个经典问题解答(4-4)!

(接上篇)

 

问题十五

 

电源损耗是怎么分布的?MOS管损耗?变压器损耗?变压器除了直流损耗,还有交流损耗怎么算的?

 

电源损耗一般集中在以下一些方面:1.MOS管的开通损耗及导通损耗。2.变压器的铜损和铁损;3.副边整流管的损耗;4.桥式整流的损耗。5.采样电阻损耗;6.吸收电路的损耗;7.其它损耗:PFC电感损耗,LLC的谐振电感损耗,同步整流的MOS管损耗。等等。。。

 

针对这些损耗,适当的减小可以提升效率。1.针对MOS管可选用开关速度快的,导通电阻低的,电路上课采用软开关。2.针对变压器:选择合适大小的磁芯,磁 芯太小损耗会大,很难做到铜损和铁损平衡。尤其是铜损不仅有直流损耗还有交流损耗,交流损耗一般比直流损耗还大2倍,因为铜线在高频下的交流阻抗比直流阻 抗大的多,计算时一定要充分估算进去。

 

问题十六

 

电源中的热设计,散热器是怎么选择的?散热器设计需要考虑什么?

 

散热器的设计是开关电源的一个重点,散热器主要是针对我们的发热器件温升过高,需要采用散热器来降低热阻来达到降低温升的作用!

 

主要发热器件:整流桥,MOS管,整流二极管,变压器,电感等等。

 

散热器的大小选择一般根据损耗的功率,需要的温升来计算热阻,根据热阻来选择相应面积的散热器 。

 

1.jpg 

 

当然也需要一些辅助的方式,比如在器件和散热片间涂散热膏,有会有些效果。比较小的空间可采用型材散热,体积小,散热面积大。

 

2.jpg 

 

特殊器件有特殊的处理:如变压器可将变压器底下的PCB板挖空散热,也可以在变压器上用导热泥贴散热片的方式。电感也可以加铜环散热等等。

 

问题十七

 

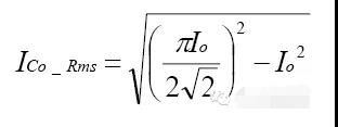
LLC的输出滤波电容怎么决定的?受哪些因素影响?

 

输 出滤波电容对输出纹波至关重要,选择合适的滤波电容需要从成本及纹波需求考虑,当然对每种拓扑滤波电容的选取都是按照输出纹波需求,纹波电流所对应的 ESR值来选取对应的电容,当然电容的容量与ESR的关系跟电容的品质也有着很重要的关系,之前已经讨论过其关系式。纹波电压时我们的需求,一般按照 50mv的需求的话,设计留有余量一般选择10mv。(考虑到PCB板滤波效果,电容低温容值降低),纹波电流计算式如下:

 

3.jpg 

 

问题十八

 

移相全桥的驱动是什么实现的?何为移相?移相带来什么?

 

移相全桥目前在中大功率使用中,也是用的很火,受欢迎程度仅次于LLC谐振半桥。之前已经比较过不同拓扑的使用情况,这里就专门介绍下移相全桥的特点。

 

移相全桥特点一:驱动比较复杂,导致控制电路复杂,成本很高,原因是移相全桥一般有4个MOS,对驱动能力要求很高,一般IC很难做到,需要对驱动能力通过外置MOS管放大使用,又为了加强可靠性一般采用隔离变压器来驱动MOS管。

 

移 相全桥特点二:移相,为什么要移相,移相带来什么,跟普通全桥有什么区别。移相针对的是同一组的MOS管,让2个MOS管依次导通,可以降低开关损耗。超 前臂桥实现ZVS同时,副边处于续流,原边电流被二极管分担,MOS管电流也很小,近似零电流导通,滞后臂桥可以零电压导通。

 

移相全桥特点三:工作过程复杂,二个输出功率状态(靠原边提供能量),二个续流状态(靠副边电感及电容提供供能量),四个死区(来分别实现每个MOS管软开通I)

 

只是为了给新手了解移相全桥,作为开关电源比较重要的拓扑一部分,它的重点和难点在哪里。

 

问题十九

 

大功率若追求效率,无桥PFC是怎么实现的?原理是什么?

 

很 多人都听说过无桥PFC,不过真正使用起来并不很常见,原因是无桥PFC相比普通有桥PFC效率上固然有提升,一般也就在1-2%,若不是追求高效,一般 都不会使用,成本太高。根据无桥PFC的特点,其实整流桥并没有真正省去不用,只是当做交流输入正负半轴的隔离使用,简单来说相当于普通二个PFC,交流 正负半轴各一个,相应的PFC电感也会增加一个,MOS管也会增加一个,驱动IC也会复杂一些,对于大功率为了做高效,检测电阻用变压器绕组来做,可以减 小损耗。之前接触过一个960W用无桥PFC+LLC效率达到96.5%,不过终因为客户要求输入电压交流和直流都能满足,这时候无桥PFC就不能在直 流下发挥很好的作用就否决了。

 

问题二十

 

电力电源中为什么用到三相电?三相三电平是怎么实现,三电平带来了什么?

 

三相电在电力电源中使用比较多,一般在大功率1KW以上或者上万W的场合。三相电一般采用三相四线,其中一根是零线,四根线相当于能够传输普通二相电三倍的功率,传输功率更大是其大优势;其次三相电易于产生,目前常见的三相异步电机,能简单方便产生。

 

三 相三电平是怎么回事呢,因为三相电不能直接给某些用电设备供电,需要转变成普通的二相电。一般过程,采用三相PFC转换为直流电,直流电然后逆变成二相交 流电。这里面就牵涉到三电平技术,三相电PFC整流出来不是普通正负DC,而是三电平,也就是正DC,零,负DC。从这里也可以看出来采用三电平器件的应 力降低,谐波含量低,开关管损耗也低,这样在高压大功率场合优势就非常突出了。

 

问题二十一

 

电源中有很多保护电路,你多能说几种保护?怎么去实现?

 

电源的可靠性离不开保护电路,通常有哪些保护电路呢?

 

1.输入欠压过压很常用,对交流信号采样。

 

2.输出过压保护,一旦电源开关能锁机对电源可靠性也有帮助。

 

3.过流保护,有的是采用恒流做过流,有的采用限功率来做过流,当然也可以锁机来做,目的一个可靠性,方法很多种。可靠的保护一定是锁死而不是打嗝!

 

4.过温保护,采用热敏对变压器或者是环境温度等方式检测,来反馈给到IC锁机或者打嗝。

 

5.短路保护,短路可以打嗝,同样也可以锁机。

 

这些是一般电源常用的,有的可以说是必备的保护电路。所以看好规格书选择合适的IC来做保护功能更方便的保护电路。我用过一款LD7522做反激,这些功能就能很好,可以简单全部的做出来。

 

问题二十二

 

一般的LDO和高PSRR的LDO有甚么分别?

 

这个问题问得非常典型,其实一般的LDO是起到稳定电压的作用,它对温波造成的控制抑制基本集中在10K以下,在典型的 LDO数据手册里面,在10K或是100K以下的 PSR通常是在40DB以下,因为此时的LDO误差放大器基本上已经失去了放大能力。对于实际的需求来说,很多DCDC电源它的温波频率是在几百 K甚至上兆,如果是一个普通的 LDO,对于这样的噪声抑制没有任何能力,它只对声频范围有抑制能力,对于需要射频应用的场合,LDO通常是无能为力的,而高PSR的 LDO则能提供这方面的抑制,所以这也是一个根本上的完全不同的区别。

 

问题二十三

 

搞电源不懂市场?你搞的电源何去何从?开发出了没用?替老板赚到钱才有用。

 

终于到了后一个问题,电源市场问题一般工程师可能关注的少,注重研发是错误。项目成功不是做出来,而是赚到少的钱。

 

举个例子:你一年做了三个项目累死累活,赚了100万,另一个人一年就做了一个项目,比做三个项目轻松多了,一年赚了1000万,老板喜欢哪个?

 

有的人说项目又不是我们选择,怎么知道赚不赚钱,但是赚钱项目的特点我们要熟悉啊,什么样的电源市场上比较火啊,你清楚吗?按照自己公司现有的模式来开发, 有没有和大公司的设计差距啊。不是说项目能不能做出来,而是能不能优的做出来,其实站在研发角度也就是如何选择优拓扑,做省方案。

 

(完结)


版权声明:

本站发布的有些文章部分内容来源于互联网。如有侵权,请联系我们,我们会尽快删除。

导航栏目

联系我们

联系人:张总

手机:18016426289

电话:18016426289

邮箱:26586601@qq.com

地址: 上海市青浦区北青公路6588号