行业新闻

输入差模电感讲解

开关电源的EMC部分经常会看到有加差模电感,这个电感的作用就是用来抑制开关电源的噪声进入电网用的,特别对于要求高PF的电源里面,如果前面加太多的X电容,可能会引起PF值下降,所以很多时候是加差模电感。

高PF开关电源大部分是有功率因数校正电路的,比如APFC电路,是通过控制开关管的开通与关断来实现输入电流与电压跟随,为了实现电流跟随电压一般APFC前面是不能有太大的电容,没有太大的电容,那么开关管开通与关断引起的高频电流纹波不能很好的被滤除,没有被滤除的高频纹波电流随输入线进入到了电网,引起输入传导电磁干扰超标,为了解决EMI的问题,通常会加差模电感,比如下面图上的差模电感。那么这样的一个电感要怎么去计算,很多的人是测试EMI的时候实际去尝试,比如EMI不过的时候就加大电感量。但是我们可以通过计算大的知道需要多大的感量。

 

1.jpg 

 

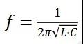
这个差模电感既然主要的作用是抑制PFC上面的高频纹波,一般PFC的开关频率都是在150kHz以下,因为EMI测试频率范围是从150kHz开始的。所以我们的要抑制150kHz以上的频率,然后前面的C1与差模电感的截止频率f很多时候是选择0.1-0.3倍的开关频率,C1是指输入部分的X电容。比如一个开关频率是60kHz,那么截止频率差不多是10k左右,根据

 

2.jpg 

 

只有知道C就能计算出来电感的感量.

假设一个开关频率fs=60kHz的电源,前面的X电容选择220nF,计算下差模电感。

首先截止频率fc的选取,fc=0.2×fs=0.2×60kHz=12kHz

电感的选择

 

3.jpg 

 

计算出来的L=800uH

差模电感很多都是用环形铁粉末磁芯材料去绕制,铁粉末磁芯的价格比较低。

在中小功率里面经常看到有差模电感,但是很多的大功率电源里面没有差模电感,这是为什么了,这是功率越大的情况下,输入部分的X电容越大,X电容越大所需要的差模电感的感量越小,比如当X电容大到4.7uH的时候,截止频率到20kHZ的时候,计算出来的差模电感就只有13.4uH,这个感量是非常的小了,我们知道大功率电源里面的EMI部分肯定是有几个共模电感的与X电容形成多级滤波。

如下图所示的EMC输入部分

 

4.jpg 

 

这里面有3个共模电感与x电容,理想的共模电感在输入的L相与N相的差模回路里面是没有电感量,共模电感是两个绕组在同一个磁芯里面,下面的图就是一个共模电感的实际绕线图,因为两个绕组是同进同出的,电流在L与N回路里面是电流的流向是在另个绕组里面是想反的,两个绕组产生的磁力线相互抵消,导致电感量为0,所以理想的共模电感在差模回路里面是没有电感量的,但是实际绕制的共模电感,因为两个绕组的绕线方式不一定能做到完全一直,也就是耦合做不到100%,这样就有漏感存在,这个漏感就变成了差模电感。

 

5.jpg 

 

所以功率比较大的电源里面很多都是利用共模电感里面的漏感来抑制开关电源里面的噪声。

现在有很多的共模电感是那种差共模一体的,这样有时候可以减少差模电感,当然这还是要去实际测试下,共模电感的漏感是多大,然后计算下截止频率是多,这样就可以很好的知道要不要放差模电感。


版权声明:

本站发布的有些文章部分内容来源于互联网。如有侵权,请联系我们,我们会尽快删除。

导航栏目

联系我们

联系人:张总

手机:18016426289

电话:18016426289

邮箱:26586601@qq.com

地址: 上海市青浦区北青公路6588号